Try It
Power-Reducing and Half-Angle Formulas Practice
Practice 1
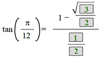
Use a half-angle formula to find the exact value of 
Select the correct half-angle formula
Answer:
- Let
=
. Then x =
Answer:
Let
=
. Then x = 

Substitute in x
Answer:




Use a half-angle formula to find the exact value of 
Select the correct half-angle formula
Substitute in x
Substitute the value of sin
and cos 
Answer:

Multiply by common denominator
Answer:

Practice #2, Part 1
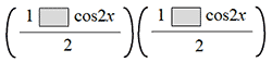
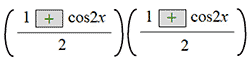
Rewrite the expression in terms of the first power of the cosine.
cos4x
- ____ (Fill in the blank)2x ____ (Fill in the blank)2x
Since we don’t have any formulas for the fourth power of cosine, start by factoring
Answer:
cos2x cos2x

Now, we can substitute power-reducing formulas
Answer:


Multiply
Answer:


Add like terms
Practice #2, Part 2
Rewrite the expression in terms of the first power of the cosine.
cos4x
We’ve gotten another cos2 x term. We need to substitute the power reducing formula again.

Answer:

Simplify cos 2(2x)
Answer:

Practice #2, Part 3
Rewrite the expression in terms of the first power of the cosine.
cos4x

Multiply by the common denominator.

Answer:

Practice #2, Part 4
Rewrite the expression in terms of the first power of the cosine.
cos4x

Simplify
Answer:
