Learn
Power-Reducing Formulas
Let’s look at the cos 2x formulas and use them to derive the power-reducing formulas:
cos 2x = 1 − 2 sin2x
Subtract 1 from both sides
cos 2x = 1 − 2 sin2x
Divide by −2
Rearrange
Power-Reducing Formulas
Let’s look at the cos 2x formulas and use them to derive the power-reducing formulas:
cos 2x = 2 cos2x − 1
Add 1 to both sides
cos 2x + 1 = 2 cos2x
Divide by 2
Rearrange
Power-Reducing Formulas
In order to find the tan2x let’s use the quotient identity 
Substitute the formulas we just found
Simplify
The Power-Reducing Formulas
Half-Angle Formulas
The half-angle formulas are derived from the power-reducing formulas.
Replace x with 
Take the square root of both sides
Notice that 2x becomes x when x is replaced with 
Half-Angle Formulas
The half-angle formulas are derived from the power-reducing formulas.
Replace x with 
Take the square root of both sides
Notice that 2x becomes x when x is replaced with 
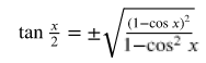
Half-Angle Formulas
The half-angle formulas are derived from the power-reducing formulas.
Replace x with 
Take the square root of both sides
We now need to simplify the radical.
Simplifying the Tangent Half-Angle Formula
To simplify, multiply either by the conjugate of the denominator, or by the conjugate of the numerator.
| Conjugate of the denominator | Conjugate of the numerator | |
![]() |
![]() |
|
![]() |
Pythagorean identity
sin2x + cos2x = 1
Find the square root |
![]() |
The Half-Angle Formulas
The sign ± depends on the quadrant
is in.
Use Half-Angle Formulas to Find Exact Trigonometric Values
Open Use Half-Angle Formulas to Find Exact Trigonometric Values in a new tab
Use Power-Reducing Formulas to Rewrite Trigonometric Expressions
Open Use Power-Reducing Formulas to Rewrite Trigonometric Expressions in a new tab
Use Half-Angle Formulas to Solve Trigonometric Equations
Open Use Half-Angle Formulas to Solve Trigonometric Equations in a new tab
























