Try It
Practice Problem #1
Are these lines perpendicular?

Answer: no
Practice Problem #2
Are these lines perpendicular?

Answer: yes
Practice Problem #3
Are these lines perpendicular?
y = 3x + 4 and y = 3x - 2
Answer: no; One line has a slope of 3. The other line has a slope of 3 as well. The slopes are not negative reciprocals, so these lines are not perpendicular. In fact, they are parallel.
Practice Problem #4
Are these lines perpendicular?
y = -2x + 1 and 
Answer: Yes; One line has a slope of -2. The other line has a slope of 1/2. The slopes are negative reciprocals, so these lines are not perpendicular.
Practice Problem #5
Are these lines perpendicular?
y - 3x = 5 and 
Answer: yes; Before you can answer this, make sure you get the first equation into slope intercept form by moving the x-term to the left side. y = 3x + 5. One line has a slope of 3. The other line has a slope of - 1/3. The slopes are negative reciprocals, so these lines are perpendicular.
Practice Problem #6
Find the equations of a line in slope intercept form that is perpendicular to the line y = 2x - 3 that goes through the point (4, 1).
What is the slope of the given line?
Answer: 2
Ok, now that we know the slope of the given line, what is the slope of a line perpendicular to it.
Answer: - 1/2
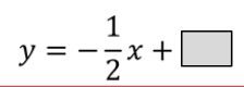
Now that we have the slope as - 1/2, we can substitute this value and the points into point slope form to find the equation in slope intercept form.
y - y1 = m(x - x1)

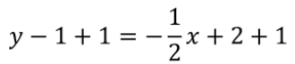
Distribute the -1/2 across the terms in the parentheses.

Isolate the y-term.

Combine like terms to simplify.
Answer: 3