Learn
Perpendicular Lines
Perpendicular lines are lines that intersect to form a right angle. Below are examples of perpendicular lines. So when someone sayd to you that these lines are perpendicular you automatically know they form right angles.

Notation
Instead of writing out the word perpendicular we use this symbol:
⊥
The notation used to describe that the two lines are perpendicular is: ⊥
Equations of Perpendicular Lines
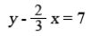
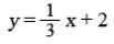
The main focus of this lesson will be with perpendicular lines on a coordinate plane. The key point you must remember is that perpendicular lines on a coordinate plane have opposite reciprocal slopes. This means that one slope must be positive while the other is negative AND the fractions are reciprocalsMultiply the fraction by -1 and switch the numerator and the denominator. of each other.
Also, notice each time you multiply the pair of fractions the product is -1.
Exercise #1
Great! Now try it when you are given an equation of a line.
What is the slope of a line that is perpendicular to the given line:
slope of perpendicular line: ___
Answer: -3
y = -5x - 4
slope of perpendicular line: ___
Answer: ![]()
slope of perpendicular line: ___
Answer: ![]()
Finding Perpendicular Lines
Wow, you are really on top of things!
You are definitely ready to verify perpendicular lines on a coordinate plane. All you have to do is find the slope of each line and see if they are opposite reciprocals of each other.
- If they are opposite reciprocals, then the lines are perpendicular
- If not, they are not perpendicular to each other
One thing you should never do is assume based on sight because the eyes are not capable of distinguishing between 89° and 90°.
Perpendicular Lines on a Cordinate Plane
Here is an example of two perpendicular lines on a coordinate plane. Notice that the slopes are opposite reciprocals of each other.

Example #1
Open Determine If the Following Graphed Lines Are Perpendicular in a new tab
Equations of Perpendicular Lines
Awesome. Now that you can identify perpendicular lines on a coordinate plane by looking at their slopes, we will go on to our next objective. We will now learn how to determine the equation of a line through a given point that is perpendicular to another line. Let’s look at an example that is almost like the one in 2.04. We are going to find the equation of a line in slope intercept form that is perpendicular to the line y = 2x - 4 and goes through the point (1, 3).