Learn
Ways to use Blueprints
One component of the language of blueprints and drawings is scale. Because you obviously cannot draw the actual big structures on one piece of paper, a scaled-down version is drawn. Blueprints and project plans use scale for measurement, usually inches and portions of an inch to represent a foot, yard, or other larger dimension. To draw or read a blueprint, you must understand how the sizes of a drawn object and the real object it represents are related.
For example, a scale on a blueprint might be that ⅛ = 1' (read as one-eighth of an inch is equal to 1 foot).
What does this mean? It means that every ⅛ of an inch on the paper represents 1 foot in "real life".
From Blueprints to Real Life
To build a structure, you must interpret a blueprint to determine its actual size.
For example, if you have a 3-inch line on a plan that represents a wall, and the scale is ½ inch equals 1 foot, how long is the real "wall"? It might help to draw a picture of the visual on paper.
Open Application of Scale in a new window
Note: The presentation may take a moment to load.
From Real Life to Real Blueprints
Now, let's do the reverse, where you know the size of the wall but you must represent it on paper:
You have a 20 foot retaining wall and need to draw it on a blueprint. The scale on the blueprint is ¼ inch equals one foot.
How long a line would you have to draw on a blueprint to represent the retaining wall?
Open Use Scale to Represent a Figure on a Blueprint in a new window
Note: The presentation may take a moment to load.
Using Proportions
Instead of trying to figure out whether to divide or multiply, if you set up your problem as a proportion, you can easily determine measurements from drawings to real life and from real life to drawings. Measurements on blueprints and drawings will not always be evenly divided or use the same units as in the examples. This is another reason ratios and proportions should be used for calculations. Since the scale on a blueprint drawing is simply a ratio, you find the answers by setting up a proportion.
To determine the actual height of a roof that, on a blueprint, is represented with an 8" line and the scale is 2" = 5' using a proportion.
Remember an inch is represented by (") and a foot is represented by (').
Open Using Proportions in a new window
Note: The presentation may take a moment to load.
Determining and using scale is the same as using ratios and proportions. The scale on a blueprint drawing is simply a ratio – a measurement relationship between a size on paper and actual size. To solve problems of scale to interpret and draw blueprints, you set up proportions.
Knowledge Check
Knowledge Check #1
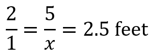
Scale to Real Life. If you have a 10 inch line that represents a wall on a plan and the scale is ½ inch equals one foot. How long is the "real wall?" What is the proportion?
Answer: ![]()
Knowledge Check #2
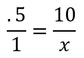
Real-Life to Scale. You have a 40 foot retaining wall and need to draw it on a blueprint. The scale on the blueprint is ¼ inch equals one foot. What proportion would you set up to get your answer?
Answer: ![]()
Knowledge Check #3
Your back fence is 40 feet long. Using a scale of ¼" = 1 foot, how long would the line be that represents the fence on your drawing? Use a proportion to find your answer.
Answer: ![]()
Knowledge Check #4
Your landscaper gave you a drawing of a proposed flower bed. To save money, she said you could prepare the bed for planting, and then they would come out and plant your flowers. The line on the drawing representing how long the flower bed will be is 5". The scale on the drawing says 2" = 1'. What is the length of the space you need to till and fertilize in the backyard to prepare for planting? Use a proportion to find your answer.
Answer: 
Conclusion
Construction plans, drawings and blueprints are scaled down representations of the final project using ratios of actual sizes. When plans are scaled, it puts the parts and elements into a print-size drawing, easily read by a crew or individual. Scale, combined with graphic icons, creates an accurate paper guide for building and to determine the accurate amount of materials needed.