Introduction
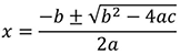
Discriminant
The discriminant is the part of the quadratic formula under the radical.

What does the word discriminate mean? Discriminate means make a difference in.
If you say 22° you think, "Cold" and if I say 99°, you think "Hot" without me saying another word.
The discriminant is another number that tells us something about a quadratic equation.
If the discriminant is the part of the quadratic formula under the radical, what would the formula of the discriminant be?
Answer: D = b2 − 4ac
Discriminant Example
Let's work an example: Find the discriminant of 3x2 + x + 9 = 0
First, list a, b, c.
- 3
- 1
- 9
Plug these values into the formula:
- D = b2 − 4ac
- D = 12 − 4(3)(9)
- D = ___blank
Answer:
- D = −107
Now, graph the related quadratic function, y = 3x2 + x + 9. We see that the quadratic function does not cross the x-axis which means the x-intercepts are imaginary. Note also that the value of the discriminant is negative.

There are no x-intercepts, the y-intercept is 9 and the solutions are imaginary.
