Learn
The Formula
The Quadratic Formula
The quadratic formula can be used to solve any quadratic equation. To solve the equation, you will always want your equation in standard form, ax2 + bx + c = 0. Notice the right side of the equation must be zero. a, b, and c each represent real numbers.
The quadratic formula is: ![]()
Identifying Values
It is important to identify the values for a, b, and c in order to use the quadratic formula.
Recall that a, b, and c represent the coefficients and constant of a quadratic equation.
For example, 4x2 − 6x + 3 = 0
a = 4
b = −6
c = 3
Example #1
Identify the values for a, b, and c using the quadratic equation 2x2 + 5x − 5 = 0.
a =
b =
c =
Example #2
Identify the values for a, b, and c using the quadratic equation −8x2 − 9x − 1 = 0.
a =
b =
c =
Substituting in the Formula
When substituting the values for a, b, and c into the quadratic formula, it is suggested to use parentheses so you will substitute the correct values.
Suppose you had the expression −3x2 − 2x + 3. a = −3, b = −2, and c = 3. Substitute these values into the quadratic formula:
![]()

Hint: When substituting the negative value, remember to write the sign inside the parentheses. In this example, b = −2. When you substitute for the first b of the formula, don't forget the negative. So, you will have −(−2) for the first substitution.
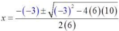
Example #3
Practice substituting into the quadratic formula using the quadratic equation: 5x2 − 7x + 3 = 0.
![]()

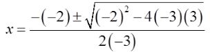
Example #4
Practice substituting into the quadratic formula using the quadratic equation: −9x2 + 4x − 6 = 0.
![]()

Simplify
Simplifying the Quadratic Formula
Now that you know how to substitute into the quadratic formula, it is time to learn how to simplify the formula.
Example #5
Open Solve Quadratic Equations Using the Quadratic Formula. in a new tab
Example #6
Open Solve Quadratic Equations Using the Quadratic Formula. in a new tab
Example #7
Solve the quadratic function x2 + 7x + 3 = 0 using the quadratic formula.
a =
b =
c =
Using the values a = 1, b = 7, and c = 3, fill-in the formula.
![]()

Simplify the first b term and the squared term. You can also simplify the denominator.

Simplify the multiplication under the radical.

Simplify the subtraction under the radical.

Simplify the square root by finding a decimal.

Separate the two parts of the equation and solve. Simplify the numerators.
Part 1:


- x = −0.46
Part 2:


- x = −6.54
The two solutions are x = −0.46 and x = −6.54 for the quadratic equation.
Remember that you can easily check your answer by substituting these values into the original question. This is always a good step to do so you will know your answer is correct.
Common Mistakes
As you probably have noticed, the quadratic formula is quite an intricate formula. There are a few common mistakes students tend to make when working with this formula.
Let's explore these potential mistakes to help in your solving.
Common Mistakes #1
The first common mistake is not properly substituting for the b value. Suppose you have 6x2 − 3x + 10 = 0. In this equation a = 6, b = −3, and c = 10.
Correct Substitution

Incorrect Substitution

Common Mistakes #2
Another common mistake is not dividing the entire expression by 2a. Suppose you have 6x2 − 3x + 10 = 0. In this equation a = 6, b = −3, and c = 10.
Correct Substitution

Incorrect Substitution

Common Mistakes #3
Another common mistake is not correctly squaring the b term under the radical. Suppose you have 6x2 − 3x + 10 = 0. In this equation a = 6, b = −3, and c = 10.
Correct Substitution


Incorrect Substitution


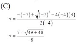
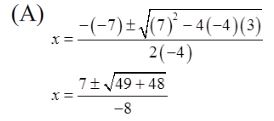
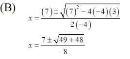
Example #8
Using the quadratic equation −4x2 − 7x + 3 = 0, which of the following is properly substituted and squared?
Answer: 
Complex Solutions
Example #9
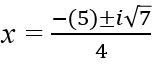
Solve 2x2 + 5x + 5 = 1 by using the quadratic formula.
Step 1:
- Get everything on the same side. Subtract 1 from both sides.

Step 2:
- Identify the a, b, and c and plug into the formula.
a =
b =
c =
![]()

Step 3:
- Simplify:


Remember, when you take the square root of a negative number, you get an i.

We will not have decimal answers since there is an i in the answer. Remember, if we have a complex solutions, there will not be any x-intercepts on the graph. The graph will never cross the x-axis.
Example #10
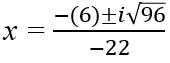
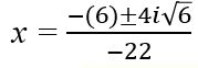
Solve −11x2 + 6x − 1 = 2 by using the quadratic formula.
Step 1:
- Get everything on the same side. Subtract 2 from both sides.

Step 2:
- Identify the a, b, and c and plug into the formula.
a =
b =
c =
![]()

Step 3:
- Simplify:


Remember, when you take the square root of a negative number, you get an i.

In this problem, we can break down and simplify the square root of 96.


If all numbers (not including the number in the radical) can reduce by a number, then we can reduce. If only 1 number on top can reduce with the denominator, then you cannot reduce the fraction! −6, 4, and 22 can reduce by 2.



