Introduction
Quadratic Equation
Many times completing the square can begin to have a lot of fractions in the work. There is another method that can be easier when the a is not equal to 1.
A quadratic equation in standard from is given by:
- ax2 + bx + c = 0.
When we solve an equation, we get x by itself. If we get x by itself from this equation, we could plug into that equation every time.
We are going to solve for x by completing the square.
Steps
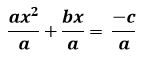
Step 1: Subtract c from both sides.
- ax2 + bx = −c.
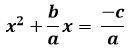
Step 2: Divide everything by a.
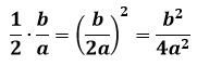
Step 3: Take half of b (this is the term in front of x) and square it.
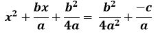
Step 4: Add this to both sides.
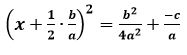
Step 5: Factor the left side into (x +
× b)2 and add the right side by getting a common denominator.
The b term is ![]()
The common denominator of a and 4a2 is 4a2
Add the fractions together.
Step 6:Take the square root of both sides and get x by itself.
Subtract
from both sides. ![]()
Now, combine for one fraction. ![]()
Quadratic Formula
![]()
This is called the Quadratic Formula. The quadratic equation can be used to solve any quadratic equation.
We can now plug straight into this formula to solve quadratic equations.






